Actually, the “H” energy head
factor in the equation H = Pi*n /(pgQ) is inversely related to restriction.
The higher “H” the more restriction.
If we rearrange the formula and solve for
flow “Q”, we have flow Q = Pi*n/(pgH) which says (leaving other
factors along) that if we reduce the factor “H” (head factor –
which in essence means reducing restriction so head “H” is lowered)
then Q will increase. Ergo, to increase Q reduce H meaning reduce your
restriction. Well, I think that’s what it says {:>)
However, Jeff, I must admit my only real
experience with “restrictor” plates and the rotary were the two
occasions I attempted to insert the coolant thermostat back into the engine
– in both instances I almost fried my engine. The engine would get overly
hot (like Pinging hot) and the thermostat never seemed to open or at least the
system did not cool adequately for sure. I even drilled 1/8” holes
around the rim of one to ensure no air could be trapped based on
recommendation from someone on the list. I tried a couple of thermostats in
case I had a “bad” one. No go, and I still fly without a
thermostat {:>). I know other’s fly with a thermostat – but,
just didn’t work out for me.
So I decided “Free Flow” - to
heck with restrictions – and have cooled every since. Like I mentioned I
can see situations were a restriction might be called for (Lynn has mentioned it as well), but for my
system I want it free flowing (well, as much as possible).
From: Rotary motors in aircraft
[mailto:flyrotary@lancaironline.net] On
Behalf Of Jeff Whaley
Sent: Tuesday, August 18, 2009
4:40 PM
To: Rotary
motors in aircraft
Subject: [FlyRotary] Re: Swirl
pots/box fans
But Ed, does it
mathematically show that you now want to install a restrictor plate?
Or are you sticking
to this original statement?: The entire ideal is to
transfer heat from engine to air. Holding the coolant longer in the block
(via a flow restrictor) will indeed increase the temperature and therefore the
heat content of the coolant. However, my view is the ideal is NOT to hold
the heat in the block but to promote its rapid exit from the block to the
radiator.
Jeff
From: Rotary motors in aircraft
[mailto:flyrotary@lancaironline.net] On
Behalf Of Ed Anderson
Sent: Tuesday, August 18, 2009
3:23 PM
To: Rotary
motors in aircraft
Subject: [FlyRotary] Re: Swirl
pots/box fans
Here is a formula for a centrifugal pump
that clearly? Shows that Tracy and Lynn are correct
Energy Usage
The
energy usage in a pumping installation is determined by the flow required, the
height lifted and the length and characteristics of the pipeline. The power
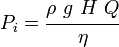
required to drive a pump (Pi), is defined simply using SI units by: by:

where:
Pi is the input power
required (W)
ñ is the fluid density (kg/m3)
g is the gravitational constant
(9.81 m/s2)
H is the energy Head added to
the flow (m)
Q is the flow rate (m3/s)
ç is the efficiency of the pump plant as a decimal
One can see that if Q the flow rate
becomes zero (by blocking the exit) then the power required to drive the pump
Pi also becomes zero. So block the pump and lower the flow and the power
required drops – or with the same power, the pump can spin faster.
There is always some flow around the vanes of a centrifugal pump in reality, so
the power does not cause the pump to spin to infinity rpm but it equalizes at a
higher rpm than when considerable (unblocked) flow is the condition.
Is this fun or what?
From: Rotary motors in aircraft
[mailto:flyrotary@lancaironline.net] On
Behalf Of Lynn Hanover
Sent: Tuesday, August 18, 2009
2:55 PM
To: Rotary
motors in aircraft
Subject: [FlyRotary] Swirl
pots/box fans
NO! I meant exactly
what I wrote. It is admittedly counter-intuitive but true none the
less. Did you attempt to prove it to yourself with the suggested
test? Only takes a few seconds :>)
Tracy
On Tue, Aug 18, 2009 at 11:57 AM, Jeff Luckey <JLuckey@pacbell.net>
wrote:
When a box fan falls over onto its suction side, it revs up as the work
it is performing drops off to near zero.....................same idea.
__________ Information from ESET NOD32 Antivirus, version of virus signature database
3267 (20080714) __________
The message was checked by ESET NOD32 Antivirus.
http://www.eset.com
__________ Information from ESET NOD32 Antivirus, version of virus signature
database 3267 (20080714) __________
The message was checked by ESET NOD32 Antivirus.
http://www.eset.com
__________ Information from ESET NOD32 Antivirus, version of virus signature
database 3267 (20080714) __________
The message was checked by ESET NOD32 Antivirus.
http://www.eset.com